- Accueil
- Volume 29 (2025)
- Numéro 4
- Évaluation de l'efficacité de la sous-irrigation par jarres en argile cuite pour la culture de l’oignon (Allium cepa L.) au Burkina Faso
Visualisation(s): 325 (20 ULiège)
Téléchargement(s): 74 (14 ULiège)
Évaluation de l'efficacité de la sous-irrigation par jarres en argile cuite pour la culture de l’oignon (Allium cepa L.) au Burkina Faso

Document(s) associé(s)
Version PDF originaleRésumé
Description du sujet. L'irrigation représente un levier important pour améliorer la sécurité alimentaire et la productivité agricole, en particulier dans les contextes arides du Burkina Faso.
Objectifs. Cette étude a pour objectif d’évaluer l'efficacité des jarres en argile cuite comme système de sous-irrigation pour la culture des oignons au Burkina Faso.
Méthode. L'analyse des sols a été réalisée afin de déterminer les principaux paramètres physico-chimiques. Au total, neuf jarres ont été enterrées et leurs débits d'exsudation ont été mesurés à intervalles réguliers. Des capteurs d'humidité ont été installés autour des jarres où des plants d’oignons ont été cultivés. La hauteur des plants et le nombre de feuilles par pied ont été suivis pendant trois semaines. Des analyses statistiques descriptives, complétées par une analyse en composantes principales (ACP), ont été effectuées afin d’identifier les tendances générales et de mettre en évidence les structures sous-jacentes des données.
Résultats. L'analyse des sols a montré une texture grossière, de type sablo-limoneux indiquant une bonne capacité de drainage mais une faible capacité de rétention d'eau. Les valeurs de pH, légèrement acides à neutres, sont favorables à la disponibilité des nutriments dans le sol. Les densités apparentes sont comprises entre 1,54 à 1,56 g·cm-³, tandis que la teneur de la matière organique reste relativement faible dans le profil pédologique n° 2 (0,19 %) comparativement aux profils pédologiques n° 1 (0,61 %) et n° 3 (0,812 %). Les essais effectués en conditions hors sol ont montré des relations contrastées entre les débits mesurés, reflétant des niveaux de performance différenciés des jarres. Les mesures de débit des jarres ont révélé des valeurs variant entre 0,08 l·h-1 et 0,14 l·h-1, soit un débit moyen de 0,112 l·h-1. L'analyse en composantes principales (ACP) a révélé que le meilleur taux d’humidité autour de la jarre est situé à 20 cm au maximum sur une profondeur n’excédant pas les 30 cm du sol. L’analyse conjointe de la hauteur des plants et du nombre de feuilles d’oignons a suggéré une croissance relativement linéaire et positivement corrélée.
Conclusions. Les résultats de notre étude ont mis en évidence l'efficacité des jarres en terre cuite pour la sous-irrigation des cultures d'oignons comme étant une technique de faible technologie locale, adaptée aux petits exploitants et pouvant contribuer à la mise en œuvre de solutions d'irrigation durables.
Abstract
Evaluation of the effectiveness of sub-irrigation using fired clay jars for onion (Allium cepa L.) cultivation in Burkina Faso
Description of the subject. Irrigation represents an important lever to improve food security and agricultural productivity, especially in the arid contexts of Burkina Faso.
Objectives. This study aims to evaluate the effectiveness of fired clay jars as a sub-irrigation system for onion cultivation in Burkina Faso.
Method. Soil analysis was carried out to determine the main physico-chemical parameters. A total of nine jars were buried, and their exudation flow rates were measured at regular intervals. Moisture sensors were installed around the jars where onion plants were grown. The height of the plants and the number of leaves per plant were monitored over time. Descriptive statistics and a principal component analysis (PCA) were performed to explore the trends and underlying data structures.
Results. Soil analysis showed a coarse texture, sandy-loam type, indicating good drainage capacity but low water retention capacity. The pH values ranged from slightly acidic to neutral, favorable for nutrient availability in the soil. Bulk densities ranged between 1.54 and 1.56 g·cm-³, while organic matter content remained relatively low in soil profile no. 2 (0.19%) compared to profiles no. 1 (0.61%) and no. 3 (0.812%). Performance tests of the jars in soilless conditions revealed varied relationships between measured flow rates, indicating differing performance levels. Flow rate measurements of the jars ranged from 0.08 l·h-1 to 0.14 l·h-1, with an average rate of 0.112 l·h-1. PCA revealed that the optimal moisture rate around the jar is located at a maximum of 20 cm within a soil depth not exceeding 30 cm. Joint analysis of plant height and number of onion leaves suggested relatively linear growth, positively correlated.
Conclusions. The results of our study highlighted the effectiveness of fired clay jars for sub-irrigation of onion crops, as being a low-tech local technique suitable for smallholder farmers and potentially contributing to the implementation of sustainable irrigation solutions.
Table des matières
Reçu le 9 décembre 2024, accepté le 26 aout 2025, mis en ligne le 3 novembre 2025.
Cet article est distribué suivant les termes et les conditions de la licence CC-BY (http://creativecommons.org/licenses/by/4.0/deed.fr)
1. Introduction
1Dans toutes les régions du monde où la pluviométrie est insuffisante pour permettre des récoltes abondantes et régulières, l'irrigation est un complément indispensable pour la production agricole (Merlet & Petit, 2018). L'irrigation fait partie des enjeux majeurs en agriculture dans le contexte actuel de réchauffement climatique. En raison du réchauffement climatique, le recours à l'irrigation pour certaines cultures devient encore plus indispensable, notamment en zones arides et semi-arides (Kambou, 2019). Au Burkina Faso, l'irrigation est un enjeu crucial pour l'agriculture, surtout dans un contexte de variabilité climatique et de sécheresse fréquente (Kambou, 2019). D’autant plus que le pays fait face à des défis importants en matière de sécurité alimentaire (Pouya et al., 2024) et le développement de l’irrigation est apparu comme une alternative porteuse pour sécuriser et accroitre durablement la production agricole burkinabè (Garane et al., 2018 ; Konate et al., 2018). L’irrigation est essentiellement gravitaire et faiblement développée avec 33 % de superficies aménagées sur un potentiel irrigable de 233 500 ha (Kambou, 2019) et vient en appui aux stratégies endogènes déjà développées (Fossi et al., 2013).
2L'irrigation de surface est la plus courante mais elle est souvent inefficace en raison de la perte hydrique par évaporation et infiltration (Pouya et al., 2024). La mise en œuvre de techniques d’irrigation innovantes telle que le goutte à goutte enterré a été largement introduite au Burkina Faso. Cependant, les matériaux utilisés, généralement constitués de tuyaux poreux, s’avèrent peu performants car ils sont très vulnérables au colmatage et aux intrusions racinaires (Mailhol et al., 2013 ; Smith et al., 2014).
3Néanmoins, d’autres techniques ont permis de contrer la menace de pénurie d’eau et de pollution tout en augmentant les rendements agricoles (Le Roy et al., 2021). Au Maghreb par exemple, l’irrigation localisée, technique réputée économe en eau, connaît une extension rapide dans les régions sujettes au déficit hydrique (Slatni et al., 2004).
4Le sous-diffuseur enterré est également une nouvelle technique révolutionnaire adaptée aux zones semi-arides et arides pour une gestion optimale et une conservation s’élevant à 100 % de cette irrigation (Chahtech, 2012). Selon cet auteur, cette technique permet d’acheminer l’eau directement dans le sol, réduisant les pertes par évaporation et améliorant l’efficacité d’utilisation de l’eau. L’avantage du sous-diffuseur enterré en argile cuite réside dans le fait qu'il soit accessible au niveau du prix d'achat et en même temps innovant par rapport aux techniques d'irrigation traditionnelles. En général, les connaissances liées au traitement de la terre cuite sont déjà présentes localement. L'utilisation de jarres en argile cuite pour la sous-irrigation est une approche innovante qui pourrait offrir des solutions durables pour les agriculteurs locaux et révolutionner l’horticulture domestique (Smith et al., 2014). La sous-irrigation est une technique consistant à fournir de l'eau directement dans la zone racinaire des plantes à une profondeur précise sous la surface du sol. L'eau est généralement acheminée par des tuyaux, canaux ou des jarres souterraines, permettant de maintenir un niveau d'humidité optimal dans la zone racinaire (Du et al., 2015 ; Zhou et al., 2018 ; Sachin et al., 2024). Cette technique permet d’éviter le phénomène de la dispersion hydrique due au processus d'évaporation lors de l'irrigation de surface. La capacité de distribution de l’eau dans le sol est une caractéristique inhérente à la technique d’irrigation par sous-diffuseurs. La micro-irrigation par les sous-diffuseurs en terre cuite pourrait être particulièrement pertinente dans des contextes où les ressources en eau sont limitées (Pouya et al., 2024). L'eau apportée pénètre dans le sol là où il est nécessaire et humidifie un volume de sol limité uniquement à la rhizosphère, à la portée des racines de la culture. Au Burkina Faso, la production nationale d'oignon en 2011 a été estimée à 242 258 tonnes, représentant 32,4 % de la production maraîchère (Konate et al., 2018). La culture de l'oignon, largement répandue au Burkina Faso, est considérée comme l'une des cultures maraîchères les plus importantes du pays. Elle est bien ancrée dans l'agriculture locale, avec des zones spécifiques comme le Nord et le Centre-Nord, le Centre-Sud, les Hauts-bassins, le Centre-Ouest (Son et al., 2016 ; Garane et al., 2018).
5L’objectif de ce travail est de contribuer au développement d’un système de sous-irrigation utilisant des sous-diffuseurs en terre cuite, afin de réduire les pertes hydriques et d'améliorer les rendements agricoles. Nous formulons l’hypothèse selon laquelle les jarres en terre cuite, fabriquées localement, constituent des sous-diffuseurs efficaces pour l'irrigation des cultures d'oignons dans la région du centre du pays.
2. Matériel et méthodes
2.1. Zone d’étude
6Le site expérimental est un périmètre aménagé d’une superficie de 60 m2 dans l’enceinte de l'Institut Polytechnique Privé de Shalom (IPS) situé à Ouagadougou dans la province de Kadiogo au centre du Burkina Faso (Figure 1).

Figure 1. Localisation du site expérimental — Location of the experimental site.
7Située à la longitude 1°31'12''W et à la latitude 12°21'48''N, la ville de Ouagadougou connaît un climat de type soudano-sahélien avec une saison des pluies de juin à septembre et une saison sèche d'octobre à mai (Ibrahim, 2013). Le régime pluviométrique est unimodal, la seule saison pluvieuse s’étale de juin à octobre. Les précipitations moyennes annuelles oscillent entre 600 et 700 mm (Karambiri & Gansaonre, 2023). La tendance générale de l’ISP (Indice Standardisé des Précipitations) montre une régression des quantités de pluie dans la zone, passant de 780 mm (1930-1969) à 580 mm (1970-1995), soit une diminution de 200 mm ou 25,6 % (Fontès & Guinko, 1995).
8Les températures moyennes annuelles varient entre 20 à 28 °C pendant la saison humide et sont par contre très élevées en saison sèche, de 35 à 40 °C, favorisant l’assèchement des points d’eau par l’évaporation (Da et al., 2008 ; Kambou, 2019).
9L'évapotranspiration potentielle (ETP) à Ouagadougou a été observée sur plusieurs périodes entre 1956 et 2015, montrant une première rupture à la baisse de - 197,3 mm (-10 %) localisée en 1985, suivie d'une seconde rupture à la hausse de + 268,6 mm (+ 15 %) en 1994. La tendance globale sur cette période est une hausse de + 5 % (+ 71,3 mm). Durant la période 1985-1993, une légère augmentation de l'ETP a été notée (+ 8,2 % à + 10,9 %) (Bambara et al., 2019).
10La zone de Ouagadougou, à une altitude comprise entre 200 et 350 m, est caractérisée par des buttes de cuirasses latéritiques au sud-ouest, à l’ouest et au nord, avec des pentes de l'ordre de 1 à 2 %. La côte la plus basse de 282 m correspond au lit du Massili au nord-est de la ville (Yameogo et al., 2008). Les sols se sont développés sur les formations géologiques précambriennes du socle cristallin. Les sols sablo-limoneux sont largement répandus dans les zones semi-arides et soudano-sahéliennes, notamment dans les régions du Centre et du Centre-Nord. Ils sont particulièrement adaptés à l'agriculture pluviale notamment maraîchère (Kissou et al., 2014 ; Gnissien et al., 2021 ; Bazongo et al., 2022).
11La majorité des populations des différents villages environnants pratiquent une agriculture extensive de type pluvial, utilisant des outils traditionnels. Cette agriculture, première activité la plus importante, est assujettie aux aléas climatiques avec des précipitations parfois déficitaires. L'élevage est la deuxième activité pratiquée, très souvent en association avec l’agriculture (Tiendrebeogo, 2017).
12Dans la ville de Ouagadougou, la culture maraîchère est pratiquée dans les jardins et aux abords des retenues d'eau qui tarissent dès la fin de la saison pluvieuse. Plusieurs variétés de légumes, notamment les oignons, les aubergines, les choux et les carottes sont cultivés et confrontés à un manque d’eau récurrent (Robert et al., 2018).
2.2. Analyses de laboratoire
13Le site expérimental a fait l’objet de prélèvement d’échantillons de sols à chaque 10 m2 à l'aide d'une tarière à des profondeurs comprises entre 20 et 60 cm. Trois échantillons représentatifs ont fait l’objet d’analyse en laboratoire. Les propriétés physico-chimiques des échantillons de sol sont les suivantes :
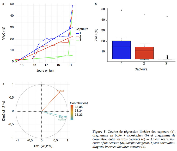
14– la granulométrie (cinq fractions) reposant sur la méthode internationale adaptée à la pipette « Robinson Khöln » ;
15– le carbone organique : méthode de Walkley & Armstrong Black (1934) consistant en une oxydation de l’échantillon de sol par un mélange de bichromate de potassium et d'acide sulfurique. Matière organique = C (%) * 1,72 ;
16– l’azote total : méthode de Kjeldahl qui consiste en une digestion du sol suivie d’une distillation (Bremner, 1965) ;
17– le potentiel capillaire : méthode d’extraction de l’eau sous pression (Marmite RICHARD), HpF2, 5 : humidité pondérale à la capacité au champ (en pF3 pour les sols lourds), HpF4, 2 : humidité pondérale au point de flétrissement permanent. Humidité pondérale [Hp= (pF2, 5 – pF4,2)] ;
18– la réserve en eau utile (RU) : RU = (HpF2, 5 – HpF4,2) x da x Z / 100 avec da = densité apparente ; Z = épaisseur de l’horizon (mm) ;
19– la densité apparente du sol : les prélèvements ont été faits au cylindre (Blake & Hartage, 1986).
20Ces analyses ont permis de mieux comprendre les interactions entre le sol et l'eau diffusée par les jarres.
2.3. Tests de diffusion des jarres en terre cuite
21Jarres en position hors sol. Les sous-diffuseurs utilisés sont des pots en argile d’une capacité de 5 L, fabriqués localement notamment par des femmes rurales. Au préalable, un test hors sol (Figure 2a) a été nécessaire pour vérifier la qualité des sous-diffuseurs et la quantité d’eau diffusée.

Figure 2. Dispositif pour le test hors sol des jarres (a), schéma de disposition des jarres enterrées (b), schéma illustrant la disposition des capteurs autour d’une jarre enterrée (c) et disposition des capteurs d’humidité et des pieds d’oignons autour des jarres enterrées (d) — Setup for off-ground testing of the jars (a), diagram of the arrangement of buried jars (b), diagram showing the arrangement of sensors around a buried jar (c) and arrangement of moisture sensors and onion plants around the buried jars (d).
22Le dispositif est composé de six jarres codifiées (JA, JB, JC, JD, JE, JF) choisies de façon aléatoire sur un total de neuf disponibles et préparées pour l’expérimentation. Ce test hors sol a été réalisé au cours de cinq jours à l'air libre dans un endroit ombragé afin de minimiser les pertes d'eau par évaporation. Il a consisté à remplir les jarres à ras bord et à mesurer le niveau de l’eau toutes les 12 h. Nous avons utilisé un cylindre gradué d'une capacité d'1 L pour mesurer la quantité d'eau à ajouter. Le volume d'eau utilisé pour chaque remplissage ainsi que le temps écoulé ont été relevés. Le niveau d'eau à l'intérieur de chaque sous-diffuseur a été maintenu constant afin d’assurer une exsudation continue. La quantité d’eau diffusée par la jarre est mesurée en L·h-1.
23Jarres en position enterrée. L’implantation des sous-diffuseurs dans le sol a été réalisé suivant un dispositif comprenant neuf jarres réparties selon la figure 2b. Les sous-diffuseurs ont été enterrés à une distance d’1 m l’un de l’autre dans des trous de dimensions adaptées (30 cm de diamètre, 40 cm de profondeur). Les bords supérieurs des jarres n'ont pas été enterrés, facilitant ainsi leur remplissage régulier pendant l'expérience. Un arrosage a été pratiqué tout autour du point d'enfouissement afin d'assurer une parfaite adhérence du sol à la surface extérieure du sous-diffuseur enterré. Les mesures ont été répétées toutes les 12 h, le matin à 8h30 et le soir à 20h30 pendant cinq jours. La première se réfère aux heures les plus fraîches tandis que la deuxième à celles les plus chaudes. Les mesures ont consisté à remplir les jarres jusqu’au bord en relevant le niveau de l’eau au remplissage. Un récipient gradué a été utilisé afin d’établir exactement la quantité d’eau utilisée pour le remplissage. Le volume d’eau exsudé par l’heure (Ve) est égal à la quantité d’eau utilisée pour remplir la jarre divisée par le temps écoulé :
24Ve = Q/T.
25La quantité d’eau diffusée par la jarre est mesurée en L·h-1.
2.4. Installation du système de suivi de l’humidité du sol
26Pour obtenir une plus grande précision dans la mesure du contenu hydrique du sol, il a été nécessaire d'étalonner les capteurs Spectrum WaterScout SM100 en fonction des caractéristiques spécifiques du sol. En raison du nombre limité de capteurs, trois capteurs (capteur 1, capteur 2 et capteur 3) ont pu être installés autour de la jarre JE afin de relier la lecture fournie à la teneur en eau volumétrique réelle (VWC) du sol. Les capteurs 1 et 2 sont superposés et positionnés à 15 cm de la jarre et le capteur 3 à 30 cm. Le capteur 2 est installé à la même profondeur que la partie inférieure de la jarre. La distance du capteur 1 est égale à la moitié de la largeur de la jarre et celle du capteur 3 à la largeur totale de la jarre (Figure 2c). Ces capteurs sont destinés à mesurer la variation du gradient d'humidité autour de la jarre JE sélectionnée sur la base des résultats du test hors sol.
27Le capteur d’humidité est composé de deux électrodes qui fonctionnent comme un condensateur, le sol environnant servant de diélectrique. Un oscillateur de 80 MHz entraîne le condensateur pour générer un signal qui est proportionnel à la permittivité diélectrique du sol.
28Les capteurs sont connectés à une unité de mesure qui transforme le signal émis par le dispositif en teneur en eau volumétrique.
29La capacité de diffusion de la jarre est ainsi mesurée à partir de la teneur volumétrique de l’eau (VWC) du sol, fournie par ces capteurs positionnés à côté de la jarre. Ces capteurs sont connectés au système de référence (FieldScout) pour répéter la lecture et à notre système local pour effectuer une autre lecture selon l'intervalle de temps établi (Berhanu et al., 2021). Des boîtiers d'enregistrement automatique installés sur le site et connectés aux capteurs ont permis de recueillir des données en continu sur l’humidité du sol (Figure 2d).
2.5. Installation de la culture d'oignons
30Les plants d’oignon (Allium cepa L.) ont été achetés en pépinière. En plus de la jarre JE, les plants d’oignons ont été repiqués autour des autres sous-diffuseurs (Figure 2d) à une distance inter-plants de 15 à 20 cm. Ils ont été placés à moins de 1 à 2 cm du bord de la jarre enterrée (Bainbridge & Steen, 2012). Ce schéma de plantation a été choisi pour maximiser l’accès des racines à l'eau diffusée par les jarres tout en optimisant l’espace disponible. Le niveau d'eau à l'intérieur de chaque sous-diffuseur a été maintenu constant afin d’assurer une exsudation continue tout au long de la journée.
31Le suivi de la croissance des plants d’oignons a été mené sur une période relativement très courte de trois semaines et avec un nombre limité de 120 plants. L’analyse de la croissance de ces plants d’oignons s’est concentrée sur la hauteur des plantes et le nombre de feuilles par pied. Une mesure par semaine de la hauteur a été appliquée depuis la base jusqu’à la pointe des feuilles.
2.6. Analyse des données
32Les données collectées ont été saisies à l’aide d’un tableur Excel 2016. L'analyse statistique des données collectées a été réalisée à l'aide du logiciel R. Les données ont été évaluées statistiquement par des analyses de variance (ANOVA). Les paramètres analysés sont la performance de diffusion de la jarre, la variation de l'humidité du sol et la croissance des pieds d’oignons.
3. Résultats
3.1. Paramètres physico-chimiques du sol
33L'analyse des paramètres du sol a révélé des caractéristiques texturales dominées par le sable. Ce sol à texture grossière, de type sablo-limoneux, indique une bonne capacité de drainage mais une faible capacité de rétention d'eau (Tableau 1). Sa fertilité spécifique limitée est certainement due aux faibles teneurs en matière organique. Les valeurs de pH, variant de légèrement acides à quasi neutres, favorisent une bonne disponibilité des éléments nutritifs pour les plantes.

3.2. Évaluation de la diffusion d'eau des jarres en hors sol
34Les résultats du test de performance de diffusion des jarres en contexte hors sol sont illustrés par des courbes de régression linéaire (Figure 3a). Ce graphique montre l'évolution des débits pour chaque jarre au fil des mesures. Les valeurs sur l'axe des x représentent les niveaux de débit moyen des jarres. Le débit de la jarre JE est particulièrement élevé, à 0,25 L·h-1, soit un excès de +97 % par rapport à la moyenne des débit (0,123 L·h-1). À l'inverse, les jarres JB et JD affichent les débits les plus faibles, limités à 0,08 L·h-1, ce qui équivaut à une diminution de 38 % par rapport à la moyenne (0,127 L·h-1). Ces jarres ont une faible capacité de diffusion de l’eau par rapport à la jarre JE. Quant aux jarres JA, JC (0,11 L·h-1 chacune) et JF (0,13 L·h-1), elles affichent des débits modérés et relativement proches de la moyenne (0,13 L·h-1). L’analyse par le diagramme en boîte à moustaches (Figure 3b) révèle également une plus grande dispersion des débits pour les sous-diffuseurs JF (0,13 L·h-1), JC (0,11 L·h-1), JD (0,08 L·h-1) et JE (0,25 L·h-1), tandis que le sous-diffuseur JC présente une distribution des débits relativement concentrée autour de sa valeur moyenne de 0,11 L·h-1.

Figure 3. Diagramme en boîte à moustaches des débits par jarre (a) et courbe de régression linéaire des débits par jarre (b) — Box plot of flow rates per jar (a) and linear regression curve of flow rates per jar (b).
3.3. Évaluation de la diffusion d'eau des jarres enterrées
35Nos observations ont relevé des débits des jarres qui, en général, varient entre 0,07 et 0,33 L·h-1 (1,95 × 10−8 et 9,17 × 10−8 m·s-1) (Figure 4). Dans la majorité des cas, les jarres ont eu des débits moyens compris entre 0,08 et 0,14 L·h-1. La jarre JD a montré la plus grande variabilité avec une valeur maximale de 0,33 L·h-1 (soit 9,17 × 10−8 m·s-1), tandis que la plus faible variabilité est détenue par la jarre JH (0,08 L·h-1 soit 2,22×10−8 m·s-1). Les débits de JD ont beaucoup fluctué, limitant son utilisation dans des contextes nécessitant une diffusion stable. Cette grande imprévisibilité de JD pourrait être due à des facteurs externes ou à des variations dans les conditions de mesure.

Figure 4. Fréquences comparées des débits des jarres en position enterrée et en hors sol — Comparative frequencies of flow from in-ground and off-ground jars.
36Le débit moyen de JA (0,14 L·h-1) est élevé mais sa performance est relativement stable (variabilité modérée), la rendant ainsi plus fiable pour des contextes nécessitant un débit constant élevé.
37Les jarres JB, JE, JF, JG et JH ont montré des comportements plus homogènes, avec des débits constants. JI (0,13 L·h-1) a eu un débit moyen élevé, une variabilité de 36 % avec des fluctuations notables. JC (0,13 L·h-1) a présenté une performance régulière, un bon équilibre entre débit moyen et stabilité (20 %).
38Les jarres JE (0,09 L·h-1), JF (0,10 L·h-1) et JG (0,11 L·h-1) sont les plus stables, indiquant des débits qui n’ont pas significativement évolué avec le temps. Leurs variations sont minimales et prévisibles. Elles sont les plus appropriées pour des applications nécessitant un débit constant.
39La comparaison des débits (Figure 4) entre les jarres enterrées et celles hors sol montre que ces dernières ont généralement des débits moyens plus élevés (0,13 L·h-1) comparés à ceux des jarres enterrées (0,11 L·h-1). Cette tendance pourrait être attribuée à plusieurs facteurs, notamment l'accès direct à l'air et à la lumière qui favorisent une meilleure évapotranspiration, ainsi qu'une gestion plus efficace de l'eau. Les différences de débit entre les jarres en hors sol et enterrées (Tableau 2) pourraient être attribuées à des facteurs environnementaux, notamment la pression du sol, l’humidité ambiante, l’évaporation et la température.

40En condition enterrée, la pression du sol pourrait réduire la variabilité du débit, offrant une diffusion plus stable. L’utilisation de jarres enterrées pourrait donc contribuer à une irrigation plus durable en minimisant les pertes d’eau par évaporation.
41L’intégration de capteurs pour surveiller en temps réel les débits ont permis de recueillir des informations précieuses pouvant être utilisées pour l’optimisation des systèmes d’irrigation.
3.4. Évaluation de l'humidité du sol grâce à des capteurs
42Les données fournies par les trois capteurs ont été examinées à travers une analyse statistique descriptive en se concentrant particulièrement sur la distribution et la variabilité des mesures (Figure 5a).

43Selon les courbes de régression montrant les variations de la teneur en eau volumique, les capteurs 1 et 2 ont une forte tendance à l'augmentation au fil du temps (R² ajusté > 0,81), expliquant environ 81 % de la variabilité des données, tandis que le capteur 3 a une tendance plus faible (R² ajusté ≈ 0,15) n'expliquant que 14,57 % (R² ajusté ≈ 0,15) de la variabilité des données. La similarité entre les capteur 1 et 2 suggère une redondance potentielle ou une forte corrélation entre les paramètres qu'ils mesurent, ce qui pourrait être utile pour valider les mesures observées.
44Le comportement distinct du capteur 3 pourrait être lié à sa position plus éloignée de la jarre par rapport aux deux autres capteurs.
45Afin de mieux mettre en évidence les différences de performance entre les capteurs, nous avons réalisé un diagramme en boîte à moustaches (Figure 5b) montrant les valeurs aberrantes de tous les capteurs. Cependant, les capteurs 1 et 2 ont montré une distribution asymétrique vers le haut, avec une concentration de valeurs dans la partie inférieure de leur plage. Quant au capteur 3, situé à 30 cm de la jarre, il se distingue nettement des deux autres par de nombreuses valeurs aberrantes et une distribution beaucoup plus compacte pour la majorité de ses valeurs.
46Les différences entre les capteurs confirment leurs emplacements différents et indiquent qu'ils pourraient mesurer des phénomènes distincts dans des environnements différents.
47Le capteur 1, d’une profondeur supérieure à 15 cm de la jarre, a présenté la plus grande variabilité (σ = 8,75), suivi du capteur 2 (σ = 6,43) d’une profondeur inférieure de la même distance, tandis que le capteur 3, d’une profondeur supérieure à 30 cm de la jarre, a montré une variabilité nettement plus faible pour la majorité de ses mesures (σ = 2,92). Cette différence de variabilité pourrait être liée à leurs emplacements différents autour de la jarre. Le meilleur taux d’humidité autour de la jarre est situé à 20 cm maximum sur la profondeur n’excédant pas les 30 cm du sol.
48Les médianes des capteurs (Capteur 1 : 14,85 ; Capteur 2 : 11,025 ; Capteur 3 : 3,18) indiquent des niveaux de base différents, ce qui pourrait toujours refléter des différences dans les phénomènes mesurés liés aux positionnements des capteurs.
49Ces résultats montrent que le meilleur emplacement serait autour de 15 cm, ne devant pas excéder les 20 cm, à la même profondeur de la jarre pour une optimisation du système d’irrigation par les sous-diffuseurs.
50Une analyse de corrélation entre les capteurs pourrait révéler des relations significatives entre les capteurs et confirmer éventuellement la particularité du capteur 3 (Figure 5c), ce qui nous a amené à réaliser une analyse en composantes principales (ACP) pour analyser la corrélation et la dépendance entre les capteurs, afin de quantifier la force et la nature de leurs relations.
51L’analyse en composantes principales (ACP) a démontré que 99,93 % de la variabilité totale des données collectées pouvait être expliquée par les deux premières composantes principales (PC1 et PC2). La première composante principale (PC1) explique 78,22 % et la deuxième composante principale (PC2) explique 21,71 % de la variance totale. L’axe 2 montre un gradient de distance avec la jarre, il sépare les deux capteurs (1 et 2) du capteur 3, plus éloigné. Quant à l’axe 1, il sépare les deux capteurs (1 et 2) négativement corrélés du capteur 3, positivement corrélé. Les trois capteurs sont bien représentés dans le plan factoriel (PC1, PC2). Les capteur 1 et 2 sont fortement corrélés positivement et contribuent principalement à la première composante principale, confirmant qu’ils mesurent des phénomènes similaires ou étroitement liés.
52Par contre, le capteur 3 est faiblement corrélé avec les deux premiers dont il est largement indépendant. Il contribue principalement à la deuxième composante principale et semble capturer un aspect distinct des deux autres capteurs.
3.5. Observation de la croissance des oignons cultivés autour des jarres enterrées
53Nos résultats ont montré une augmentation constante tant de la hauteur des plantes que du nombre de feuilles au cours de ces trois semaines d’observation (Figure 6).
54Cette tendance à la hausse indique une croissance végétative soutenue, suggérant des conditions favorables au développement des oignons et pouvant être liées aux premières pluies de la saison. La croissance est relativement linéaire, avec une légère tendance à s’accélérer vers les dernières semaines. L’analyse conjointe de la hauteur des plants et du nombre de feuilles a suggéré une corrélation positive entre ces deux paramètres. Le coefficient de variation (CV) est de 48,9 % pour la hauteur des plants et de 46,2 % pour le nombre de feuilles. Cette variabilité interplants indique que la relation n’est pas parfaitement linéaire, soulignant probablement des différences génétiques ou environnementales.

Figure 6. Croissance d’oignons cultivés autour des jarres enterrées : hauteur du plant (a) et nombre de feuilles (b) — Growth of onions cultivated around the buried jars: plant height (b) and number of leaves (b).
55À l’observation, 70 % des plants ont présenté une augmentation plus rapide de la hauteur ou du nombre de feuilles que les autres.
56Cette étude montre la possibilité de croissance des oignons cultivés avec des sous-diffuseurs en jarre en argile cuite, offrant une base pour améliorer les rendements et les pratiques d’irrigation. Elle ouvre la voie à des recherches plus approfondies sur les systèmes d'irrigation innovants en agriculture.
4. Discussion
4.1. Capacité de diffusion de l’eau par les jarres en terre cuite
57Nos résultats ont montré que les jarres en terre cuite, fabriquées localement, sont efficaces pour la diffusion de l'eau. Le débit moyen de nos jarres enterrées est de 3,111 × 10⁻⁸ m·s-1 avec un minimum de 0,08 L·h-1 et un maximum de 0,14 L·h-1 (3,833 × 10⁻⁸ et 2,333 × 10⁻⁸ m·s-1).
58Dans le test d'Abu-Zreig et al. (2009), une jarre enterrée et remplie manuellement chaque 24 h présentait un taux d'écoulement de 2 350 ml·jour-1, alors que cette même jarre, maintenue à un niveau de remplissage constant, est parvenue à un taux d'écoulement de 5 939 ml·jour-1, soit deux fois plus important. Des auteurs ont déjà relevé que les pots en terre cuite, en raison de leur porosité, jouent un rôle crucial dans la gestion de l'humidité du sol (Kefa et al., 2013 ; Anuratha & Shanmugapriya, 2021).
59En outre, la nature du sol environnant est un facteur déterminant dans la capacité de diffusion de l’eau par les jarres. Les propriétés physico-chimiques du sol jouent un rôle crucial dans l'efficacité de ces systèmes d'irrigation (Zhou et al., 2018). Nos résultats ont montré que les jarres sont efficaces pour diffuser l’eau dans les sols à texture grossière de type sablo-limoneux. La fréquence de remplissage requise dépend de la vitesse d’infiltration, elle-même influencée par la perméabilité des parois des jarres et par la texture du sol. C’est en ce sens que Kam et al. (2009) ont observé que la mesure de la porosité ouverte des argiles cuites est cruciale pour évaluer leur capacité à diffuser l'eau. Pour Daka (2001), la texture et la structure du sol, ainsi que la gestion des cultures, peuvent influencer la performance des jarres en terre cuite. La microstructure des jarres en terre cuite joue également un rôle significatif dans leur capacité de diffusion. Daka (2001) précise que les sols argileux, par exemple, peuvent retenir l'eau plus efficacement mais leur compaction peut également limiter la diffusion.
60Selon Abu-Zreig et al. (2009), la diffusion de l'eau à travers les jarres en terre cuite est influencée par la porosité et la perméabilité des matériaux utilisés. Ils soulignent que la conception des jarres, qui inclut des pores de taille appropriée, est essentielle pour assurer un débit d'eau régulier et efficace vers le sol environnant. Ces auteurs ont constaté que des matériaux ayant une porosité ouverte élevée, comme certaines argiles, peuvent permettre une meilleure circulation de l'eau, ce qui est essentiel pour l'irrigation des cultures. La vitesse d'infiltration et la distribution de l'humidité dépendent des propriétés du sol. La texture et la structure du sol, y compris la teneur en matière organique et la rétention d'eau, influencent directement le débit d'eau des jarres en terre cuite (Daka, 2001). En sol sablo-limoneux, où l’extension latérale de la zone humide est plus faible qu’en sol limoneux, la sous-irrigation ne doit pas dépasser une Infiltration d'Eau Potentielle (IEP) de 2,23 kg·m-³ car cela entraîne un risque élevé de drainage (Mailhol et al., 2013). Par conséquent, une approche intégrée qui prend en compte ces facteurs est essentielle pour maximiser les avantages des systèmes de sous-irrigation.
61La porosité ouverte des matériaux, comme les argiles cuites, est essentielle pour déterminer la quantité d'eau qui peut être diffusée à travers le sol. Ils notent que la mesure de la porosité ouverte et de la densité des matériaux sont primordiales pour évaluer leur capacité à retenir et à transmettre l'eau. Les jarres en terre cuite sont conçues pour permettre une infiltration lente de l'eau dans le sol, ce qui peut être influencé par la porosité et la perméabilité du sol (Kam et al., 2009). Ces derniers précisent que si une jarre de 5 L mouille un volume de sol ayant une section transversale effective de 1 m et si le taux d'exsudation est tel que le vase se vide en un jour, la dose à fournir sera équivalente à 5 L·m2·jour-1.
62Tedoldi et al. (2022) précisent que la vitesse d’infiltration de l’eau exsudée par les jarres est d’autant plus grande que la perméabilité du sol, notée Ks, est élevée. Les sols possédant une Ks inférieure à 10-6 m·s-1 sont considérés comme « peu perméables ». Selon ces auteurs, une vitesse d’infiltration de 10-6 m·s-1 est équivalente à 3,6 mm·h-1 ou encore 8,6 cm·jour-1 et un sol de perméabilité 10-6 m·s-1 est capable d’infiltrer environ 100 mm d’eau en 24 h. Pour le sable très fin et le limon grossier à limon argileux, le Ks est de 10-5 à 10-8 m·s-1. Nos résultats sont situés dans cette gamme de valeurs (maximum : 3,833 × 10⁻⁸ et minimum : 2,333 × 10⁻⁸ m·s-1) confirmant la texture sableuse à sablo-limoneuse du sol de notre site expérimental. Une porosité adéquate permet à l'eau de s'infiltrer lentement, réduisant ainsi le gaspillage et améliorant l'efficacité de l'irrigation (Abu-Zreig et al., 2009).
4.2. Rôle des jarres en terre cuite dans la sous-irrigation
63Cette étude, bien que relativement préliminaire, a montré le potentiel de la sous-irrigation par jarres poreuses en terre cuite ou oyas pour la production d'oignons. Nos observations ont montré une croissance linéaire de la hauteur et du nombre de feuilles des plants d’oignons cultivés autour des jarres enterrées, indiquant l’efficacité des jarres en terre cuite dans la sous-irrigation. Les pots en argile cuite jouent un rôle crucial dans les systèmes de sous-irrigation, en particulier dans les régions arides et semi-arides comme au Burkina Faso où la gestion efficace de l'eau est essentielle pour la durabilité agricole. Lorsqu’elles sont remplies d’eau, les jarres en terre cuite humidifient par exsudation de l’eau le sol environnant. Puisqu’aucune évaporation ne se produit en sous-sol, les racines bénéficient donc d’un arrosage microporeux optimisé (Smith et al., 2017) et par conséquent, la plante puise par succion uniquement l’eau dont elle a besoin. Au cours de leurs travaux sur le terrain, FAO (2016) ont constaté que l'irrigation par jarres d'argile poreuse permettait de cultiver toute une variété de légumes en utilisant seulement 30 à 50 % de l'eau utilisée avec le système local traditionnel. La capacité des jarres à s'adapter aux variations des besoins en eau des plantes en fonction des conditions climatiques et de la saison est un atout majeur pour les agriculteurs (Kam et al., 2009).
64Les tests menés par Daka (2001) ont souligné l’avantage de l’irrigation par jarre permettant de 50 à 70 % d'économies d'eau par rapport à la technique d'irrigation à l'arrosoir, connue pour occasionner les pertes les plus faibles. Dans une étude comparative, des expériences sur le terrain ont montré que le système de pot en argile cuite est plus efficace que le système de fossés (drainage par fossés), avec une économie d’eau de 97,1 % pour la culture du maïs et de 97,8 % pour la culture de tomates (Chepkwony et al., 2013). Ces auteurs ont conclu que la méthode d’irrigation par pot en argile est une technologie d’économie d’eau qui optimise les rendements par unité d’eau, comparée à la méthode d’irrigation par fossés. Les jarres en terre cuite sont des dispositifs d'irrigation souterrains qui permettent une diffusion lente de l'eau dans le sol, réduisant ainsi le gaspillage d'eau par évaporation et percolation (Daka, 2001). À l’issue de leurs travaux, Abu-Zreig et al. (2009) soulignent que l’utilisation des jarres en terre cuite peut réduire la consommation d'eau de 50 à 70 % par rapport aux méthodes d'irrigation conventionnelles. Cela est dû à leur capacité à libérer l'eau lentement et de manière contrôlée, ce qui minimise les pertes par évaporation et assure que l'eau est disponible pour les plantes au moment où elles en ont le plus besoin.
65En plus de l'économie d'eau, les jarres utilisées dans notre expérimentation sont de fabrication locale à partir de matériaux naturels, ce qui les rend écologiques et biodégradables. À ce sujet, Bainbridge & Steen (2012) relèvent que les pots en argile fabriqués avec des matériaux et des compétences disponibles localement sont moins susceptibles d'être endommagés par les animaux ou bouchés par les insectes que les systèmes goutte-à-goutte. Après plusieurs essais, les fabricants locaux parviennent à fabriquer des vases dont la solidité, la perméabilité et la taille sont optimales. Ces récipients sont généralement fabriqués à partir d’argile extraite sur place (Bainbridge & Steen, 2012). Cela rend les pots en argile enterrés idéaux pour les agriculteurs et les jardiniers qui s'occupent d'autres cultures.
66Nos résultats soulignent l'avantage du système de pots en terre cuite en matière d'économie d'eau et d'efficacité de diffusion pour les cultures dans des zones arides comme celles autour du lac Bogoria au Kenya (Kefa et al., 2013). Dans cette étude comparant l’irrigation de surface par sillons et par jarres, l’économie d’eau était supérieure à 97 % pour les cultures testées, tomates et maïs (Kefa et al., 2013). Il a consisté à placer des pots en argile poreux ou en céramique microporeuse dans le sol près de la plante, dont les cols dépassent de quelques centimètres (2-5 cm) la surface du sol. Cependant, selon Barakat (2017), cette méthode ne permet néanmoins d’irriguer qu'un petit nombre de plantes autour de chaque pot en argile. L’eau des jarres en argile cuite, se diffusant lentement par capillarité, atteint les racines des plantes, permettant ainsi une irrigation efficace de la culture des oignons en milieu aride ou semi-aride comme le Burkina Faso.
67Notre travail se distingue dans le domaine de l’irrigation et de la culture de l’oignon au Burkina Faso par son approche innovante et locale. Contrairement aux travaux antérieurs, majoritairement qualitatifs (Abu-Zreig et al., 2009 ; Mailhol et al., 2013 ; Kambou, 2019 ; Anuratha & Shanmugapriya, 2021), notre travail adopte une approche intégrée qui combine les méthodes modernes et traditionnelles. L’innovation majeure repose sur l’utilisation des capteurs d’humidité et de mesures précises des débits d’exsudation des jarres en argile cuite variant entre 0,08 L·h-1 et 0,14 L·h-1. Cette précision nous a permis de déterminer un débit optimal de 0,112 L·h-1, offrant une adaptation technique aux conditions locales. Les travaux antérieurs plus descriptifs ne fournissaient pas de valeurs quantitatives précises pouvant contribuer à l’ajustement du système d’irrigation (Abu-Zreig et al., 2009 ; Kam et al., 2009 ; Mailhol et al., 2013). Pour la première fois, l’efficacité des jarres en argile cuite est évaluée dans des sols sablo-limoneux, permettant de déterminer une zone d’humidité d’influence optimale (20 cm de rayon, 30 cm de profondeur). De plus, en proposant une technique de faible technologie, accessible aux petits exploitants et adaptée aux conditions pédoclimatiques du Burkina Faso, notre étude ouvre de nouvelles perspectives pour une irrigation durable et efficace.
5. Conclusions
68Notre expérimentation visait à évaluer la capacité de diffusion ou d'exsudation de l'eau par des pots en terre cuite fabriqués localement au Burkina Faso et leur rôle dans la sous-irrigation. Les résultats montrent que les jarres en terre cuite, fabriquées localement, sont efficaces pour la diffusion de l'eau dans le sol. L’utilisation de ces sous-diffuseurs enterrés et régulièrement remplis d’eau pourrait réduire les pertes hydriques et améliorer les rendements des cultures d'oignons. La sous-irrigation par jarres en terre cuite nécessite d’être améliorée et investiguée de manière plus approfondie en milieu paysan afin d'en améliorer la faisabilité en termes de pratique et contribuer ainsi au développement de la culture maraîchère au Burkina Faso.
69Conflits d’intérêts
70Les auteurs déclarent n’avoir aucun conflit d’intérêts sur cet article.
Remerciements
71Les auteurs remercient le Centre de recherche ethno-anthropologique (C.R.E.A.) qui a financé l’expérimentation à travers le Projet RIS-IDRO au Burkina Faso.
Bibliographie
Abu-Zreig M., Khdair A. & Alazba A., 2009. Factors affecting water seepage rate of clay pitchers in arid lands. Univ. Sharjah J. Pure Appl. Sci., 6(1), 59-80, https://www.researchgate.net/publication/267259878, (6/10/2025).
Anuratha A. & Shanmugapriya J., 2021. Irrigation par jarre. Access Agric., 2.
Bainbridge D.A. & Steen A., 2012. Super-efficient irrigation with buried clay pots, https://www.academia.edu/download/70009106/fulltext_stamped.pdf, (25/04/2023).
Bambara D., Sawadogo J., Kaboré O. & Bilgo A., 2019. Variabilité de certains paramètres climatiques et impacts sur la durée des périodes humides de développement végétal dans une station au centre et une autre au nord du Burkina Faso. VertigO, 19(1), doi.org/10.4000/vertigo.24384
Barakat M., 2017. Maîtrise de l’azote en système irrigué : application au contexte méditerranéen. Thèse de doctorat : Université de Lyon (France), https://theses.hal.science/tel-01652101v1, (6/10/2025).
Bazongo J.P., Dao M.C.E., Some D. & Hien E., 2022. Morphological characterization of a Sudanese soil: case study of the Yilou in the Centre-North region of Burkina Faso. Int. J. Plant Soil Sci., 34(23), 1393-1403, doi.org/10.9734/ijpss/2022/v34i232555
Berhanu G.G., Samuel D.H. & Mekuanent M.F., 2021. Land suitability and surface water resources potential for irrigation in Becho Plain, upper Awash basin, Ethiopia. Irrig. Drain., 70, 936-957, doi.org/10.1002/ird.2575
Blake R.G. & Hartage K.H., 1986. Bulk density. In: Klute A., ed. Methods of soils analysis. Part 1. 2nd ed. Madison, WI, USA: American Society of Agronomy, 363-375.
Bremner, 1965. Total nitrogen. In: Norman A.G., ed. Methods of soil analysis. Part 2. Madison, WI, USA: American Society of Agronomy, 1149-1178.
Chahtech, 2012. Le diffuseur enterré. Une véritable innovation pour une irrigation efficace, https://www.chahtech.com/fr/index.html, (13/10/2025).
Chepkwony K. et al., 2013. Comparison of water use savings and crop yields for clay pot and furrow irrigation methods in Lake Bogoria, Kenya. J. Nat. Sci. Res., 3(8), 34-39.
Da D., Yacouba H. &Yonkeu S., 2008. Unités morphopédologiques et gestion de la fertilité des sols dans le Centre-Nord du Burkina Faso par les populations locales. Int. J. Biol. Chem. Sci., 2(3), 306-315, doi.org/10.4314/ijbcs.v2i3.39746
Daka A.E., 2001. Development of a technological package for sustainable use of dambos by small-scale farmers. PhD thesis : University of Pretoria (South Africa).
Du T., Kang S., Zhang J. & Davies W.J., 2015. Deficit irrigation and sustainable water-resource strategies in agriculture for China’s food security. J. Exp. Bot., 66(8), 2253-2269, doi.org/10.1093/jxb/erv034
FAO, 2016. La gestion durable des sols : clé pour la sécurité alimentaire et la nutrition en Afrique. Nat. Faune, 30(1), https://openknowledge.fao.org/handle/20.500.14283/i5292f
Fontès J. & Guinko S., 1995. Carte de végétation et de l’occupation d’un sol du Burkina Faso. Notice explicative. Ministère de La Coopération Française Projet Campus (8813101). Toulouse, France : Université Paul Sabatier.
Fossi S. et al., 2013. Acception et vulgarisation de l’irrigation complémentaire dans la province du Barn/Burkina Faso. J. Eau Environ., 21-22, 29-36.
Garane A. et al., 2018. Évaluation du comportement au champ de quelques variétés d’oignon (Allium cepa L.) et d’échalote (Allium cepa var. asculoni cum) pour la culture d’hivernage au centre du Burkina Faso. Int. J. Biol. Chem. Sci., 12(4), 1836, doi.org/10.4314/ijbcs.v12i4.25
Gnissien M. et al., 2021. Effets des pratiques agro-écologiques sur les caractéristiques chimiques majeures et le stock de carbone du sol à l’Est du Burkina Faso. Tropicultura, 39(3), 1-14, doi.org/10.25518/2295-8010.1862
Ibrahim B., 2013. Caractérisation des saisons de pluies au Burkina Faso dans un contexte de changement climatique et évaluation des impacts hydrologiques sur le bassin du Nakanbé. Thèse de doctorat : Université Pierre et Marie Curie, Paris (France), https://theses.hal.science/tel-00827764, (7/10/2025).
Kam S. et al., 2009. Céramiques d’argile du Burkina Faso utilisées en construction immobilière. J. Soc. Ouest-Afr. Chim., 27, 67-74, https://www.soachim.info/document/journal-soachim/article/Vol-027Num-1-3e2db0652761c219d6e4409b344260d0.pdf, (7/10/2025).
Kambou D., 2019. Évaluation des performances techniques de l’irrigation au Burkina Faso. Thèse de doctorat : Université de Liège – Gembloux Agro-Bio Tech (Belgique).
Karambiri B.L.C. & Gansaonre R.N., 2023. Variabilité spatio-temporelle de la pluviométrie dans les zones climatiques du Burkina Faso : cas de Bobo-Dioulasso, Ouagadougou et Dori. Eur. Sci. J., 19(9), 262, doi.org/10.19044/esj.2023.v19n9p262
Kefa C.C. et al., 2013. Comparison of water use savings and crop yields for clay pot and furrow irrigation methods in Lake Bogoria, Kenya. J. Nat. Sci. Res., 3(8), 34-40.
Kissou R. et al., 2014. Connaissance endogène de la classification et de la fertilité des sols en zone sud-soudanienne du Burkina Faso. VertigO, 14(1), doi.org/10.4000/vertigo.14616
Konate M. et al., 2018. Évaluation des potentialités nutritives et l’aptitude à la conservation de onze variétés d’oignon (Allium cepa L.) bulbe introduites au Burkina Faso. Int. J. Biol. Chem. Sci., 11(5), 2005-2015, doi.org/10.4314/ijbcs.v11i5.6
Le Roy J., Dubois V., Tournebize J. & Lauvernet C., 2021. Synthèse bibliographique : impacts de l’infiltration d’eaux usées traitées sur les sols. [Rapport de recherche] INRAE UR-Reversaal. 2020. hal-03155946
Mailhol J.C., Ruelle P., Dejean C. & Rosique P., 2013. Le goutte à goutte enterré : une solution innovante pour irriguer sous conditions restrictives en eau. Sci. Eaux Territoires, 11, 26-29, doi.org/10.3917/set.011.0026
Merlet M. & Petit O., 2018. Agriculture. Accès aux ressources productives. Boulogne-Billancourt, France : Encyclopaedia Universalis.
Pouya M.B. et al., 2024. Agro-pedological impacts of different crop rotations on a ferric acrisol in Burkina Faso. Int. J. Innovation Appl. Stud., 42, 131-140.
Robert A. et al., 2018. L’agriculture ouagalaise (Burkina Faso) comme modèle de contribution au métabolisme urbain : avantages et limites. VertigO, hors-série 31, doi.org/10.4000/vertigo.21857
Sachin K.S. et al., 2024. Subsurface drip irrigation: a promising solution for maximizing crop yields and water efficiency. Arch. Curr. Res. Int., 24(6), 657-669, doi.org/10.9734/acri/2024/v24i6821
Slatni A. et al., 2004. Analyse et diagnostic de la pratique de l’irrigation localisée dans les périmètres publics irrigués de la basse vallée de la Medjerda en Tunisie. In : Actes du séminaire sur la modernisation de l’agriculture irriguée, 19-23 avril 2004, Rabat, Maroc, cirad-00187888
Smith M., Munoz G. & Alvarez J.S., 2014. Techniques d’irrigation pour les agriculteurs à petite échelle (FAO), https://openknowledge.fao.org/server/api/core/bitstreams/2cc84c79-f264-4c53-8200-584c4fe10197/content, (13/10/2025).
Son G., Kiogo R. & Ye S.G., 2016. Analyse des systèmes de production de l’oignon bulbe autour du barrage de Goinré dans la province du Yatenga au Nord du Burkina Faso. Int. J. Biol. Chem. Sci., 10(3), 1173-1183, doi.org/10.4314/ijbcs.v10i3.23
Tedoldi D., Gromaire M.-C. & Chebbo G., 2022. Infiltrer les eaux pluviales c’est aussi maîtriser les flux polluants. État des connaissances et recommandations techniques pour la diffusion de solutions fondées sur la nature. Hal-03118775, https://enpc.hal.science/hal-03118775/file/Guide%20infiltration%20D.%20Tedoldi.pdf, (7/10/25).
Tiendrebeogo Y., 2017. La pression foncière face aux enjeux de la gestion des ressources naturelles dans la province du Kadiogo. Mémoire de master : Université Ouaga I Professeur Joseph Ki Zerbo (Burkina Faso).
Walkley A. & Armstrong Black I., 1934. An examination of the Degtjareff method for determining soil organic matter and a proposed modification of the chromic acid titration method. Soil Sci., 37(1), 29-38.
Yameogo S., Blavoux B. & Savadogo A., 2008. Ressources en eau souterraine du centre urbain de Ouagadougou au Burkina Faso : qualité et vulnérabilité. Thèse de doctorat : Université d’Avignon (France).
Zhou L. et al., 2018. Effects of lateral spacing for drip irrigation and mulching on the distributions of soil water and nitrate, maize yield, and water use efficiency. Agric. Water Manage., 199, 190-200, doi.org/10.1016/j.agwat.2017.12.028

